Medição de vazão por ultrassom tipo “clamp-on” no saneamento e eficiência hídrica
Os medidores de vazão ultrassônicos do tipo clamp-on são instrumentos fascinantes porque permitem medir a velocidade de um fluido dentro de uma tubulação sem precisar cortá-la ou interromper o fluxo. Eles são instalados externamente, “abraçados” à tubulação (vide figura).

A maioria desses medidores utiliza o princípio do Tempo de Trânsito. Vamos entender como isso funciona.
O Princípio de Funcionamento
O sistema utiliza dois transdutores (sensores) instalados na parte externa do tubo. Eles alternam entre as funções de emissor e receptor de ondas sonoras de alta frequência.
Sinal a Favor do Fluxo: O sensor A envia um pulso ultrassônico para o sensor B. Como o som está viajando na mesma direção do fluido, ele ganha um “empurrão” e chega mais rápido.
Sinal Contra o Fluxo: O sensor B envia um pulso de volta para o sensor A. Como o som está lutando contra a correnteza, ele demora um pouco mais para chegar.
A diferença de tempo entre esses dois sinais (Δt) é diretamente proporcional à velocidade do fluido. Com essa velocidade e o conhecimento da área interna do tubo, o medidor calcula a vazão volumétrica.
Entretanto, existem desafios. Para que um medidor clamp-on funcione com precisão cirúrgica, ele precisa “enxergar” através da parede do tubo. É aqui que as coisas ficam interessantes (e um pouco temperamentais).
Instalação e os desafios técnicos
1. O Acoplamento Acústico
O ar é o maior inimigo do ultrassom. Se houver qualquer camada de ar entre o sensor e o tubo, o sinal se perde. Por isso, usamos um gel acoplante (ou graxa de silicone). A função: eliminar o ar e criar uma ponte sólida para que a onda sonora passe do transdutor para o metal ou plástico do cano sem sofrer refração excessiva.
2. Configurações de Montagem
Dependendo do diâmetro do tubo e da força do sinal, os sensores são montados de formas diferentes:
Montagem em V (Reflexiva): Os sensores ficam do mesmo lado do tubo. O sinal atravessa o fluido, bate na parede oposta e volta. É o método padrão para tubos pequenos e médios.
Montagem em Z (Direta): Os sensores ficam em lados opostos. O sinal atravessa o tubo apenas uma vez. É usado em tubos grandes ou quando o fluido atenua muito o sinal.
3. Desafios e “Vilões” da Precisão
Nem tudo são flores na medição externa. Alguns fatores podem “enganar” o sensor:
| Desafio | O que acontece? |
| Incrustação (Scale) | Camadas de calcário ou sujeira dentro do tubo alteram o diâmetro interno real e dificultam a passagem do som. |
| Bolhas e Sólidos | Se o fluido tiver muito gás ou partículas (mais de 2% a 5%), o som bate nelas e se espalha, em vez de chegar ao outro sensor. |
| Perfil de Fluxo | Se o sensor estiver muito perto de uma curva ou bomba, a turbulência impede uma leitura estável. Exige-se geralmente um trecho reto de 10 a 20 vezes o diâmetro do tubo antes do sensor. |
| Material do Tubo | Tubos com revestimento interno (como concreto ou borracha) são difíceis, pois o som se perde na transição entre os materiais. |
Dica de mestre: Sempre verifique a espessura da parede do tubo com um medidor de espessura ultrassônico antes de configurar o medidor de vazão. Se a espessura informada no software estiver errada, o cálculo da vazão também estará.
Setor de Saneamento
No setor de saneamento, os medidores clamp-on são considerados o “canivete suíço” da instrumentação. Como não exigem perfuração de tubos — o que em adutoras de grande porte seria um pesadelo logístico e financeiro — eles se tornam ferramentas estratégicas.
Aqui estão os principais cenários de aplicação:
1. Aplicações em Água e Esgoto 💧🚽
No saneamento, o tamanho das tubulações e a natureza do fluido definem como o medidor é usado:
- Monitoramento de Adutoras: Em tubulações de grande diâmetro (onde um medidor magnético de inserção custaria uma fortuna), o clamp-on é instalado permanentemente para medir o volume de água bruta ou tratada transportada entre reservatórios.
- Estações Elevatórias (EEAT/EEA): São usados para verificar o desempenho das bombas. Se a bomba consome muita energia, mas o clamp-on mostra uma vazão baixa, você sabe que a bomba precisa de manutenção.
- Esgoto e Efluentes: Embora o esgoto tenha sólidos (o que pode desafiar o sinal), medidores modernos com tecnologia híbrida (Tempo de Trânsito + Doppler) conseguem ler o fluxo em linhas de recalque de esgoto, onde o tubo está sempre cheio.
2. Avaliação de Eficiência Hídrica 📈
A eficiência hídrica resume-se a uma pergunta: “Para onde está indo a água que eu produzi?” O medidor clamp-on ajuda a responder isso de três formas:
A. Auditoria de Perdas (Água Não Faturada)
As equipes de geofonamento e combate a perdas usam medidores portáteis para realizar o “Balanço Hídrico Noturno”. Eles instalam o sensor em um setor da cidade durante a madrugada. Se a vazão medida for alta enquanto todos estão dormindo, há um vazamento invisível naquela área.
B. Validação de Hidrômetros Antigos
Com o tempo, hidrômetros mecânicos (como os de hélice ou turbina) tendem a “cansar” e registrar menos água do que realmente passa. O clamp-on é instalado em série com o hidrômetro antigo para servir como padrão de referência. Se houver discrepância, é hora de trocar o medidor do cliente.
C. Dimensionamento de Redes
Antes de expandir um bairro ou instalar uma nova bomba, os engenheiros instalam medidores clamp-on temporários para entender o perfil de consumo real da população (picos de manhã e à noite). Isso evita gastos desnecessários com tubos maiores do que o necessário.
Por que usar Clamp-on no Saneamento?
| Vantagem | Impacto na Operação |
| Intrusão Zero | Não há risco de contaminação da água potável. |
| Sem Queda de Pressão | Diferente de placas de orifício, ou outros dispositivos intrusivos, ele não “freia” a água, economizando energia. |
| Portabilidade | Um único kit pode auditar 10 estações diferentes em uma semana. |
| Instalação sob Carga | Não precisa fechar a válvula nem deixar o bairro sem água para instalar. |
Curiosidade: Em sistemas de saneamento antigos, o maior desafio é descobrir o material exato do tubo (muitas vezes ferro fundido incrustado). Nesses casos, o técnico precisa “limpar” bem a área de contato para o sinal não se perder na ferrugem externa.
Eficiência Hídrica em Saneamento
A eficiência hídrica no saneamento não se trata apenas de “economizar água”, mas de gerir o recurso de forma inteligente para reduzir perdas físicas e comerciais. O medidor clamp-on é a ferramenta de elite para isso, pois permite diagnósticos em pontos cegos da rede.
Vamos detalhar como cada um desses pilares funciona na prática:
1. Auditoria de Perdas: O Método da Vazão Mínima Noturna (VMN)
O combate às perdas reais (vazamentos) utiliza o clamp-on para identificar o que chamamos de “fluxo de base”.
- Como é feito: O técnico instala o medidor em um setor da rede (geralmente uma DMC – Distrito de Medição e Controle) e monitora a vazão durante 24 horas.
- O “Pulo do Gato”: Entre as 2 h e 4 h da manhã espera-se que o consumo humano seja mínimo. Se o medidor clamp-on registrar uma vazão constante e alta nesse horário isso é um indicativo matemático de vazamentos ocultos.
- Vantagem do Clamp-on: Ele permite criar “DMCs virtuais”. Se você suspeita de um vazamento em um bairro que não possui medidor fixo, você instala o clamp-on temporariamente para confirmar a suspeita antes de cavar o asfalto.
2. Validação de Hidrômetros (Combate às Perdas Aparentes)
Perdas aparentes ocorrem quando a água é consumida, mas não é faturada devido a erros de medição ou fraudes.
- O Teste do “Medidor Mestre”: Em grandes consumidores (indústrias, shoppings ou condomínios), instala-se o clamp-on em série logo após o hidrômetro do cliente.
- Análise de submedição: Comparam-se os dados de ambos. Se o hidrômetro do cliente marca 100 m³/h e o clamp-on (que é calibrado e mais preciso) marca 115 m³/h, o gestor sabe que o hidrômetro mecânico está “cansado” e subestimando o consumo em 15%.
- Proteção de Receita: Essa prova técnica justifica a substituição do hidrômetro sem contestações judiciais, recuperando o faturamento da companhia de saneamento imediatamente.
3. Dimensionamento e Calibração de Modelos Hidráulicos
Muitas redes de distribuição operam com base em projetos de 30 ou 40 anos atrás. O clamp-on fornece dados reais para atualizar esses sistemas.
- Curvas de Carga: O medidor registra os picos de demanda. Isso ajuda a saber se uma tubulação está operando no limite de sua capacidade (gerando perda de carga e alto custo de bombeamento) ou se está superdimensionada (o que favorece a estagnação da água).
- Calibração de Softwares (ex: EPANET): Engenheiros usam os dados coletados pelo clamp-on para alimentar softwares de modelagem. Se o modelo diz que deveriam passar 50 L/s e o clamp-on mede apenas 35 L/s, descobrem-se obstruções internas ou válvulas parcialmente fechadas que ninguém sabia que existiam.
Resumo Comparativo para Gestão Hídrica
| Ação de Eficiência | O que o Clamp-on mede? | Objetivo Final |
| Balanço Hídrico | Vazão de entrada vs. saída do setor. | Identificar o volume de água perdida (NRW). |
| Pitometria Moderna | Perfil de velocidades dentro do tubo. | Detectar incrustações que aumentam o gasto de energia. |
| Verificação de Bombas | Vazão real entregue pela bomba. | Calcular a Eficiência Energética (kWh/m³). |
O Próximo Passo
Para um diagnóstico de eficiência realmente completo, costuma-se utilizar o medidor de vazão em conjunto com um datalogger de pressão.
Como a relação entre Pressão e Vazão ajuda a localizar vazamentos?
Para entender a eficiência hídrica, precisamos enxergar a pressão e a vazão como as duas faces da mesma moeda. Em termos simples: a pressão é a energia que a água tem de se mover, e a vazão é o resultado (volume) desse movimento.
Na engenharia de saneamento essa relação é regida por dois conceitos principais que parecem contraditórios à primeira vista: a Perda de Carga e o Vazamento.
1. A Regra do Atrito: Perda de Carga
Imagine uma tubulação longa. Se a água está parada, a pressão é a mesma em todo a tubulação (pressão estática). Quando você abre uma válvula e a água começa a fluir (vazão), a pressão cai à medida que nos afastamos da bomba.
- A relação: Quanto maior a vazão, menor será a pressão disponível na ponta da linha.
- Por que isso acontece? Por causa do atrito da água com as paredes do tubo. Isso é chamado de Perda de Carga.
A fórmula clássica (Darcy-Weisbach) nos mostra que a perda de pressão (DP) é proporcional ao quadrado da velocidade (vazão):

Se você dobra a vazão, a perda de pressão quadruplica!
2. A Regra do Vazamento: Teoria FAVAD
Aqui a relação se inverte. No caso de um furo ou rachadura no cano, a pressão é quem manda na vazão que sai para a terra.
- A relação: Quanto maior a pressão, maior será a vazão do vazamento.
- Conceito FAVAD (Fixed and Variable Area Discharges): Diferente de um bocal fixo, muitos vazamentos em tubos de PVC ou ferro “abrem” mais conforme a pressão aumenta.
- Impacto na Eficiência: Se uma cidade opera com pressão de 40 mca (metros de coluna d’água) e reduz para 20 mca durante a madrugada, ela não apenas reduz a “força” do vazamento, ela reduz drasticamente o volume de água jogado fora.
Como o Clamp-on e o Datalogger resolvem o mistério?
Ao monitorar pressão e vazão simultaneamente, o gestor consegue diagnosticar a saúde da rede:
| Cenário Observado | Diagnóstico Provável |
| Vazão alta + Pressão baixa | Consumo elevado ou um grande rompimento de rede (estouro de adutora). |
| Vazão baixa + Pressão baixa | Obstrução na tubulação (incrustação severa) ou bomba operando fora da curva. |
| Pressão oscilando muito | “Golpe de Aríete” ou válvulas de controle mal reguladas (isso causa novos furos). |
Aplicação Prática: Gestão de Pressão
Muitas empresas de saneamento instalam as chamadas VRPs (Válvulas Redutoras de Pressão). Elas usam o medidor clamp-on para descobrir qual a vazão mínima necessária para atender a população e então configuram a VRP para baixar a pressão ao mínimo possível.
Resultado: A tubulação sofre menos “stress”, os vazamentos diminuem e a vida útil dos tubos aumenta.
Ciclo de Eficiência
Para fechar esse ciclo de eficiência, vamos mostrar como calcular o volume de perda real a partir de um teste de pressão.
Para entender como localizamos vazamentos usando a hidráulica, precisamos primeiro “desmontar” a ferramenta matemática que descreve como a energia da água se perde ao longo do caminho.
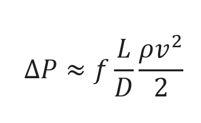
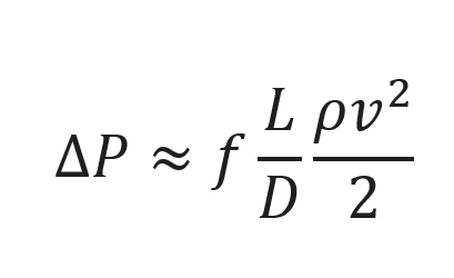
A equação de Darcy-Weisbach é a base de tudo. No contexto de saneamento, ela geralmente é apresentada para calcular a perda de carga (queda de pressão).
A forma mais comum para calcular a queda de pressão é:

Aqui está o que cada “peça” desse quebra-cabeça significa:
DP (queda de pressão): É a diferença de pressão entre o ponto A e o ponto B. No saneamento, medimos isso para saber quanta energia a água perdeu no trajeto.
f (fator de atrito de Darcy): Um número sem unidade que representa a “rugosidade” interna do tubo. Tubos velhos de ferro fundido têm um f muito maior que tubos novos de PVC.
L (comprimento): A distância total que a água percorreu. Quanto maior o tubo, maior a perda.
D (diâmetro): O tamanho interno do tubo. Note que ele está “dividindo”: isso significa que, quanto menor o tubo, maior é a perda de pressão (imagine beber água por um canudo de café vs. um canudo largo).
r (densidade do fluido): No nosso caso, a densidade da água.
v (velocidade): A velocidade do fluxo. Este é o componente mais perigoso: como ele está ao quadrado (v²), se você dobrar a velocidade da água, a perda de pressão aumenta quatro vezes.
A Relação na Localização de Perdas
Agora que conhecemos os componentes, como usamos isso para achar um vazamento debaixo da terra? O segredo está na Linha de Gradiente Hidráulico (LGH).
1. O Princípio da “Quebra” no Gradiente
Imagine uma adutora de 1 km. Se não houver vazamentos, a pressão cai de forma constante e linear (uma linha reta inclinada no gráfico). Se houver um vazamento no meio do caminho (ponto C), acontece um fenômeno hidráulico:
- A vazão antes do ponto C é maior (água de consumo + água do vazamento).
- A vazão depois do ponto C é menor (apenas água de consumo).
Pela fórmula de Darcy-Weisbach, se a vazão (velocidade v) muda bruscamente, a inclinação da perda de pressão também muda. O ponto onde a linha do gráfico “dobra” ou sofre uma queda súbita é exatamente onde o vazamento está.
2. Localização por Diferencial de Pressão
Usando o medidor clamp-on em conjunto com manômetros, os técnicos fazem o seguinte:
- Medem a pressão no início e no fim de um trecho.
- Calculam qual deveria ser a pressão final teórica (usando a fórmula acima e a vazão medida pelo clamp-on).
- Se a pressão real for muito menor que a teórica, significa que há uma “vontade” (vazão) maior saindo do tubo do que o esperado. O cálculo do diferencial permite estimar a que distância a perda está ocorrendo.
3. Método do “Step Testing” (Teste de Passos)
Este é o método mais eficaz para cidades:
- O medidor clamp-on é instalado na entrada de um bairro.
- Válvulas de diferentes ruas são fechadas, uma por uma.
- Se, ao fechar a Rua X, a vazão no clamp-on cair drasticamente (mais do que o consumo esperado daquela rua), o vazamento está ali.
O Desafio
O maior desafio na localização de perdas é que o Fator de Atrito (f) muda com o tempo devido à incrustação. Se o técnico não souber o estado real do tubo, ele pode achar que a pressão caiu por causa de um vazamento, quando na verdade o tubo está apenas “entupido” por dentro. É por isso que o clamp-on é vital: ele confirma se a velocidade real condiz com a perda de pressão observada.
Vamos ver um exemplo prático de cálculo onde comparamos a vazão teórica com a medida para achar um vazamento e entender como o ruído do vazamento ajuda a confirmar o local exato, ou seja, unir o rigor do cálculo matemático com a “escuta” técnica do campo. É assim que os melhores engenheiros de saneamento trabalham: a matemática aponta a área, e a acústica crava o local.
1. O Cálculo: Teoria vs. Realidade (O Diagnóstico)
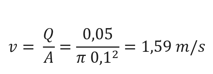
Imagine que você está auditando um trecho de 500 metros de uma tubulação de PVC de 200 mm (0,2 m) de diâmetro.
Os dados coletados:
- Vazão medida pelo Clamp-on (Q): 50 L/s (0,05 m³/s).
- Pressão no Início (P1): 40 mca (metros de coluna d’água).
- Pressão no Fim (P2): 32 mca.
- Perda de Carga Real (DPreal): 8 mca (40 – 32).
O Passo a Passo do Cálculo:
- Velocidade (v):

- Cálculo da Perda de Carga Teórica (DPteor):
Usando uma versão simplificada da fórmula para água em PVC (onde o fator de atrito f é baixo, ex: 0,018):

O Diagnóstico:
- A matemática diz que a perda deveria ser de 5,8 mca.
- O seu manômetro diz que a perda é de 8 mca.
Conclusão: Há uma “fuga de energia” de 2,2 mca que não é explicada pelo atrito. Isso prova que há um vazamento significativo entre os dois pontos, pois a água está sendo “puxada” para fora com mais força do que o consumo registrado.
2. A Confirmação: O Ruído que Entrega o Vazamento
Agora que o cálculo provou que o vazamento existe naquele trecho de 500 m, como não sair cavando o asfalto inteiro? Usamos a Geofonia e a Correlação Acústica.
Como o som se comporta: Quando a água sai sob pressão por um furo, ela gera uma vibração (ruído) que viaja pela parede do tubo e pela própria água.
- Tubos metálicos: São ótimos condutores; o som viaja longe (até 500 m).
- Tubos de plástico (PVC/PEAD): São “moles” e abafam o som; o ruído morre rápido (viagem curta, cerca de 50 m a 100 m).
O Correlador Acústico (A precisão):
O técnico coloca dois sensores em pontos de acesso (como hidrantes ou válvulas) que delimitam o trecho suspeito.
- Os sensores “ouvem” o ruído e enviam o sinal via rádio para uma central.
- A central calcula a Diferença de Tempo (Dt) que o som levou para chegar no Sensor A vs. Sensor B.
- Sabendo a velocidade do som no material (PVC aprox. 400 m/s) e a distância entre os sensores (L), a máquina calcula a distância exata (d) do vazamento:

O Geofone (O “tiro” final):
Com a distância aproximada dada pelo correlador, o técnico usa o Geofone de Solo (um estetoscópio eletrônico de alta sensibilidade). Ele caminha sobre o traçado do tubo. Onde o ruído for mais intenso e “agudo”, é o ponto exato da quebra. É ali que a retroescavadeira deve entrar.
Por que usar os dois?
Se você usar só o Geofone, vai perder horas ouvindo ruídos de trânsito ou de torneiras abertas. Se usar só o cálculo e o Clamp-on, você sabe que há um problema, mas não sabe onde cavar.
Dados (Clamp-on) + Física (Acústica) = Eficiência Hídrica.
Conclusão: Relatório de Eficiência Hídrica
Para convencer uma diretoria a investir em tecnologia (como o medidor clamp-on e geofones), você precisa parar de falar em “litros por segundo” e começar a falar em “dinheiro recuperado”.
Um bom Relatório de Pré-localização e Eficiência deve ser curto, visual e focado no ROI (Retorno sobre o Investimento).
📊 Relatório de Intervenção e Eficiência Hídrica
1. Resumo do Diagnóstico (O Problema)
- Vazão Mínima Noturna (VMN) Inicial: 18,5 m³/h (Medido via Clamp-on).
- Vazão de Consumo Esperada: 4,2 m³/h.
- Volume de Perda Suspeito: 14,3 m³/h (Perda Real de 77% do volume noturno).
2. Ação Técnica e Localização
- Método: Monitoramento de Vazão (Clamp-on) + Correlação Acústica.
- Resultado: Identificado vazamento oculto em rede de ferro fundido DN 150 sob o asfalto, sem afloramento (invisível na superfície).
- Status: Reparo executado.
3. Impacto Financeiro 💰
| Indicador | Antes do Reparo | Após o Reparo | Ganho Real |
| Vazão Noturna (m³/h) | 18,5 | 6,1 | 12,4 m³/h |
| Perda Mensal (m³) | 13.320 | 4.392 | 8.928 m³ economizados |
| Custo de Produção (R$)* | R$ 26.640 | R$ 8.784 | R$ 17.856 / mês |
*Assumindo um custo de produção (energia + química) de R$ 2,00/m³.
4. Retorno sobre o Investimento (Payback)
- Custo da Equipe + Equipamentos (Diária): R$ 2.500,00.
- Economia Gerada no 1º Mês: R$ 17.856,00.
- Tempo de Payback: 4,2 dias.
Conclusão: O investimento na pesquisa com clamp-on e geofonia se pagou em menos de uma semana de operação neste setor.
Dicas para o “Toque Final” no Relatório:
- Gráfico de “Antes e Depois”: Mostre a curva de vazão do clamp-on caindo drasticamente após o fechamento do buraco. Diretores amam linhas que descem quando o assunto é custo.
- Foto do Vazamento: Coloque uma foto do tubo quebrado sendo consertado. Isso materializa o dado técnico.
- Extrapolação Anual: Diga quanto a empresa deixará de perder em 12 meses. No exemplo acima, seriam R$ 214.272,00. É esse número que aprova orçamentos para novos kits de medição.
